| ©1990, 1995 | General contents |
| Chapter 3 | Chapter 5 |
The early studies of the last chapter gave conclusions which usefully bounded the desired area of study on two sides. On the one hand, the study of a real-life task seemed to be so complex that it prevented effective progress towards the fundamental objective: the modelling of the cognition involved in complex tasks in terms at least of the representations used. A more restricted and well-defined task was needed. On the other hand, machine learning alone did not promise to reveal human representations or human rules: there being too large a space of possible representations, a plausible qualitative guess was not good enough. It was clear that the research needed to include the study of human control. The encouraging aspect of these conclusions was that there was plenty of scope between these two extremes, and that the extremes had at least delimited the areas of study that were more likely to be fruitful.
Following on from the previous chapter (§3.2), an immediately apparent idea was to study human control of an actual, or simulated, pole-balancing task. The objection to this was that, even if balancing a broom on a finger-tip was a practiced skill in many people, balancing the pole-and-cart system with bang-bang control is not a skill which many people have picked up in their normal course of life. Therefore this would be largely a learning situation. However, there is a common system with similar characteristics that many people have experience on: the bicycle.
Though most adults can ride a bicycle with great skill and coordination, there are no reports of people giving a full account of the content of that skill. On the contrary, in the author's experience of asking people, it is normal to have misconceptions about how bicycle riding is performed. Certainly many authors have used it as an archetypal example of a skill that is not communicated by words.
The technical difficulties of studying real bicycle control put it out of experimental reach of a project such as the current one, perhaps further out of reach than the study of real maritime collision avoidance, discussed above (§3.1). The alternative was to create a bicycle-like simulation, using the computer equipment available. The author had a reasonable understanding of the fundamental physics involved in bicycle dynamics, but did not feel confident to start modelling the finer points such as the gyroscopic effects of the wheels. To distinguish this model from a high-fidelity mathematical model, it was decided to call it the Simple Unstable Vehicle, or SUV for short.
There were two parts to this study of the SUV. In the first, a mathematical model was implemented, which could test the performance of different hand-written control rules, and the results were displayed graphically. In the second, a handlebar interface was constructed to enable a human subject to control the simulation interactively, while watching a display showing the view from riding the SUV.
The literature on control engineering is outside the scope of this study, but it has been reported [78, p.214] that orthodox methods find the problem of bicycle control very difficult. It would appear that there have not been any published claims to have discovered supposed rules that humans might use for riding bicycles, nor rules that describe specifically human bicycle riding.
Logically, after deriving a supposed human or human-like control rule for the SUV, it would need testing to assess its success in use. In fact, a program to test control rules was written first, because it followed on naturally from previous pole-and-cart work. Initially, a pole-balancing simulation program written by Michael Bain of the Turing Institute was adapted, with help from him, to simulate the SUV rather than the pole and cart (this was the author′s first experience of C).
The present author alone then continued to adapt and modify the program, adding a routine to display a grid of lines as it would appear to a rider of the SUV, so that some visual impression of the performance of the rules was available. Since this was implemented using black and white, on a Sun workstation without any special graphics facilities, the quality of the graphics was rudimentary. An alternative drawing routine plotted the position of the vehicle on an X-Y grid, so that one could see the time development of the path traced out by the vehicle. The source code for this program, written in C, amounted to around three hundred lines.
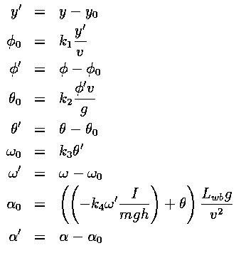
In this program, the SUV is represented by a state vector of seven components:
| x | the X-coordinate on the ground |
| y | the Y-coordinate on the ground |
| φ (phi) | the angle of the direction of motion (yaw) |
| θ (theta) | the angle of inclination from the vertical (roll) |
| ω (omega) | (i.e. dθ / dt) the rate of change of the roll |
| α (alpha) | the angle of the handlebars |
| v | the speed along the ground (constant) |
The simulation equations, devised by the present author,
are not based on an exact analysis of the system,
but incorporate a number of linear approximations
valid for small angles and small time steps.
At each time step
Δt (0.02s)
the following calculations are performed:

where
s
stands for distance travelled along the path taken,
t
stands for time
(their conventional meanings),
ks is a constant
related to the angle of the front fork and the wheelbase,
and += has the same meaning
as in C, i.e., add the RHS to the LHS.
Various values for the physical parameters were tried out, based on
an adult mountain bike and a child's bike.
A good set of adult bicycle parameters were:

At each time step, a decision was made about how to change the
handlebar angle.
As in the case of pole-balancing, this was done in a number of
variant ways.
The closest in spirit to pole balancing was for control along a
straight road.
For this arrangement, we define desired quantities
in the form y0 (for
y), and discrepancies between
y and
y0
in the form
y′.
In this case,
y0
is the value of
y
that defines
the desired path of the SUV.
The calculation then becomes:

where Lwb is the wheelbase length.
The discrepancy in the handlebar angle,
α′,
then dictates which of five set increments will be added
to the current handlebar angle.
The constants
k1
...
k4
were set by intuitively guided trial and error.
Values which gave good results were:

This means in practice that discrepancies in roll rate
(ω) are dealt with most quickly,
followed by roll (θ), yaw
(φ), and position
(y).
It may be instructive to compare this strategy with
a qualitative strategy for riding in a circle.
In these calculations (which, for the sake
of clarity, omit some implementation details),
r
is the distance from the centre of the circle,
r0
is the desired value of
r,
r′
is the discrepancy of
r
from its desired value,
r dot
is the rate of change of
r,
and
θ
ω
and
α
are as before.
As before, the discrepancy in the handlebar angle,
α′
dictates which of five set increments will be added
to the current handlebar angle.
Again, the constant values were experimented with intuitively.
Values of the
Q
constants that gave good results were:
The quantitative rules, such as the ones described above for the straight road case, gave very smooth and accurate performance, which, looking at the display, did not look like what one would expect from human control. In contrast, the qualitative rules, such as the ones most recently discussed, give more erratic behaviour. This behaviour is still too regular to look very human, but it certainly looks more like human behaviour than the quantitative rules. We have intuitions about what a natural human performance of bicycle-riding looks like, and this is something that is much less clear for pole-balancing.
The program allowed the initial setting, via command line parameters, of the angle of roll, the speed, and, for some configurations, the desired angle of roll. Setting different initial values of roll ensured that the course followed was not a special case dependent on initial conditions. Variations of speed proved particularly interesting. For the adult bike configuration, the interdependencies were clearly complex, but around 1m/s even the quantitative rule control was inclined to fall over. The child's bike configuration could, on the whole, tolerate lower speeds than the adult bike. Though these results were not explored in great detail, it is reassuring that they are qualitatively similar to the results that one would expect of human control.
Things may be learnt from these tests.
People are unable accurately to describe the skill of bicycle-riding in words, so there is room to doubt whether there is one single human control strategy used. Control engineering does not offer a straightforward solution either, so one might wonder whether there might be a variety of possible strategies. This would make it ‘complex’ under the definition adopted for this study. In turn, this might mean that a study of human control of this kind of system could reveal individual human strategies, and a study of those strategies, and their differences, could serve as a good beginning for studying human control of more complex tasks.
Accordingly, the aim of this experiment was open-ended. The lowest aim was to construct a simulation and to see if this would provide a suitable experimental vehicle. If it did, then one could continue to investigate human rules and representations of human control.
The task chosen was to ‘ride’ the SUV freely around a 100m square area, which we may think of as an empty, level, car park. (From here on, terms appropriate to bicycle-riding will appear without quotes. The reader is asked to bear in mind that these terms are being used by way of analogy.) This task was chosen as a first one, with the idea that if it should prove successful, it would be possible to introduce further constraints into the task. The computer chosen for use was the Silicon Graphics Iris 3130, which gave good quality colour 3-D graphics with sufficient speed to use as a real-time display. The underlying bicycle simulation was very similar to the one used in testing rules, §4.1.1.
The graphic display was from a rider's eye point of view, showing a dark riding area, criss-crossed by white lines at 10m intervals, and surrounded by four uniform walls 1m high, each of a different shade. The area between the top of the wall and the horizon was green and above the horizon blue. This meant that when the SUV was not leaning over, a reasonable amount of green could be seen, but as it leaned further over, less and less was visible. As well as this static scenery, visual feedback of the position of the handlebars and front wheel was given, again based on the way which would be expected on a real bicycle.
At first, the display was drawn as if the rider's head and eyes stayed fixed relative to the SUV, so that the horizon tilted on the screen when the vehicle rolled. Later, following comments from users, this was changed to make the horizon remain horizontal, with the parts of the vehicle drawn tilted instead. Though this seemed a little less disconcerting, there was no clear difference in difficulty of the task.
The steering of the SUV invited a number of solutions. The standard keyboard or mouse could be used, but this would not be very realistic, and it was thought that this could lead to the task taking longer to learn than if more realistic controls were used. It was hoped that using handlebars would help to associate people's bicycle riding skill with the task. The author made some wooden handlebars, designed to match approximately the dimensions and angles of the top section of mountain bike handlebars. To provide a signal, a potentiometer was built in to the stem. A battery connected to this gave an analogue voltage linearly dependent on the handlebar angle. This was connected to an A-to-D converter card on the Iris workstation at Charing Cross Tower (YARD).
The SUV's speed was set at a constant 5m/s, and there were no controls provided for speeding up or slowing down. It was thought that providing such controls would add even more difficulty to the task.
Controlling the SUV when the simulation was running at a lifelike speed proved to be very difficult indeed. Therefore a facility for slowing down the simulation was introduced. Slowing the vehicle down would not have worked, since it becomes much more difficult to control at low speeds. So slowing down simulation time itself was enabled. By pressing any of the numeral keys on the keyboard, the time would be slowed down by that factor, and the simulation could run as if in ‘slow motion’, making the simulation more easily controllable. As an added help in difficulty, it was arranged that when the left mousebutton was pressed, the action would stop until the middle mousebutton was pressed. This was to allow a rider to think about setting the handlebars to a sensible value at leisure.
As the simulation program ran, data was collected into a large array, and at the end, stored into a file whose name was constructed from the time, to ensure uniqueness. These files contained the values, at each time step, of the state vector variables, in their internal form, not immediately readable as an ascii file would be. This amounted to 28 bytes per time step, and since there were 50 time steps per (simulation) second, these files were reasonably large even for short runs. The record files did, however, successfully allow replaying of the runs. During replays, the user had the option of seeing a simple representation of the scene viewed from above, as well as the rider's-eye view which was given during the runs.
Several records files were made. However, the author was the only person of those who tried to control the simulation, who developed any degree of reliability. Other volunteers generally did not spend sufficient time at the task to progress beyond the stage of losing control within a few seconds of starting, even at speeds such as five times slower than real (which was given as the default). In the course of some hours of practice (during program development and testing), the author learnt to control the simulation running at half proper speed, and just one run at this speed was initially selected for detailed analysis. This run comprised 8900 time steps, which represents 178 seconds of simulation time, or 356 seconds of real time, and it ended without falling.
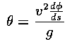
Of the state variables (see above, §4.1.1), x, y, and φ (phi) are not primarily relevant to the task of keeping from falling over, and v is constant. It is the remaining three variables that would be expected to determine the larger part of balancing control actions: θ (theta), the angle of roll; ω (omega), the rate of roll; and α (alpha), the handlebar angle itself. What is not clear is how to represent the control actions.
A first possibility to consider is that the rider's actions
consist in choosing an appropriate value for
the handlebar angle in any given conditions.
Figure 4.1 shows that there is some connection
between the roll angle of the SUV and the handlebar angle.
Examining the simulation equations (§4.1.1)
reveals part of the reason.
The roll acceleration omega dot is zero when
Statistical analysis of the data was carried out
on one in twenty of the data points (455 out of 8900),
and one of the results of this was to find a best fit
model for alpha in terms of theta and omega.
Ignoring the very small constant term, this gave
A further method was developed
specially for the analysis of this data,
and was termed ‘subduction’,
after Mill's fourth ‘canon’.
(“Subduct from any phenomenon such part as is
known by previous inductions to be the effect of certain
antecedents, and the residue of the phenomenon is the effect of
the remaining antecedents.” [90])
The principle was to find a factor connecting two variables
by using a very simple measure of the extent of the match between
two corresponding strings of data.
The degree of match was evaluated on the basis of
how often both quantities appeared at the same time
on the same side of their mean value.
This also had the feature that the two strings of data could
first be given a time offset relative to each other, to see
what time offset would give the best match.
The factor connecting the variables was that which,
when that factor of the independent variable was subtracted from
the dependent variable, gave a minimum value to the matching
function.
The method is not further described here,
since it was not highly developed or evaluated.
The subduction method gave
Another reasonable hypothesis is that the
control action is manifested in the rate
at which the handlebar angle is changed.
Since the handlebar angle is tied to the roll angle,
it is reasonable to expect at least some connection
between their respective rates of change.
The rate of roll (ω) is
immediately apparent on the display,
and intuitively it seems to be one of the chief
quantities determining the rider's actions.
However, one problem is that changes in the time-delay
factor mean that the same (simulation time) rate of roll
appears as a rate that depends on that time-delay factor.
Thus, when the time-delay is greatest, with the simulation
time much slower than control time, the visual feedback
of rate of roll is least apparent.
In the following Figure 4.2, the time units are seconds of simulation time,
each equivalent to two seconds of real time in this run.
The angular unit is the radian per second.
“DANGLE” is α dot, “DROLL” is ω.
Examination of Figure 4.2
shows a very sharply
fluctuating pattern for the rate of change of angle.
This is in part due to the quantised nature of the handlebar
angle measurement, where the size of one increment is about
0.004 radian, or roughly one third of a degree.
The method of calculation meant that the rates of change
of handlebar angle were multiples of
this amount divided by two time steps (0.04s),
i.e., approximately multiples of 0.1 radian/s.
This can be seen in the figure.
This graph clearly does not reflect
accurately the rider's actions, because of
the limitations of the recording equipment.
Moreover, it is unclear what would
actually reflect the rider's actions.
If the graph were smoothed, that would give a better
approximation to the angular speed of the handlebars.
When the graph is heavily smoothed, its shape gets
much closer to the shape of the “DROLL” graph,
but since this is anyway implied by a correlation
between angle and roll, it does not reveal
anything more about the nature of the actions.
Some exploratory statistical analysis
was performed on “DANGLE”.
This was not taken far, and no results are given here,
for reasons that will be covered in the discussion.
Another approach to modelling human control of the SUV
is to attempt to construct (by whatever means)
control rules that have similarities with human control,
either analytical similarities or similar results.
We have already seen above (§4.1)
how qualitative rules can be constructed.
Further rules were constructed with the human data in mind,
from intuitive ingenuity based on knowledge of the problem.
One such rule works in two stages.
If ω, the rate of roll, is too large,
the handlebars are shifted in the direction that will
reduce the magnitude of ω.
If ω is within a reasonably small region close to zero,
the handlebar angle is set to a multiple of the roll angle
similar to that obtained above from the experimental data.
To enable steady turning, the handlebar angle calculation
can be divided into two parts.
The first part of the angle is simply that needed to
hold the SUV in equilibrium at the current value of roll,
that is, 0.46θ.
The other part, corresponding to the difference between
the 0.46 and the 0.53 or 0.59 factors above,
can be set at any of a range of values around 0.1 times the
difference between the current roll and the desired roll.
Suitable choice of parameters allow this strategy
to give anything from highly unstable performance
to very smooth, stable performance.
What this hand-written strategy does not deal with,
however, are the psycho-motor factors influencing
and limiting the human's performance,
and the noise.
Because of this, among other things, it would not be justified
to put this forward as a model of human performance.
Also, in the process of writing the rules, there are
assumptions made that have no foundation in the
empirical data.
The first major doubt to raise in respect of
the SUV experiment concerns the extent to which
it looked likely to achieve its aims at all.
One of the ideas was that humans would be able to relate
to the task, because it was to some extent familiar;
and that this might lead to a transfer of skill
from actual bicycle-riding.
The fact that no-one managed to ride the SUV at
full speed suggests that, for whatever reason,
no extensive transfer of skill had taken place.
To anyone who had the experience of
controlling the SUV simulation,
it was apparent that it did not feel like a bicycle.
This may have been due to some unrecognised defect
in the model itself, or due to the lack of provision
of suitable information and feedback for the subject.
There were many channels of information and control
in real bicycle-riding that were absent from the simulation.
These included:
Given that humans could not use their
unconscious bicycle-riding skill,
the task was likely to involve much learning.
The simulation allowed the possibility of
concentrating on this knowledge-based kind of
performance (in Rasmussen's terminology again)
by slowing the simulation down sufficiently to allow
time for problem-solving, or conscious thought;
but if this was going to be the kind of approach used,
there was little point in basing the task on a motor skill.
There would be much more obvious ways of studying
knowledge-based information processing,
if that was what was wanted.
But, as discussed in §1.3, the aim of this
study was not to explore the knowledge-based area.
Alternatively, it might be more fruitful to study
pole-balancing skill, since that relates more closely
to work already done, and it seems that pole-balancing
would have no disadvantage over the SUV simulation
as a human control task for study.
But a greater problem, effectively ruling out pole-balancing
along with the SUV control task, is the importance of
the psycho-motor level of analysis to these actions.
Looking at the last section (§4.3),
human control of the SUV seems to have much that is difficult
to account for with a straightforward cognitive model of control.
A full analysis of the SUV control data would have
not only to take account of the imperfections in the
measurement of human actions, but also to account for
the ‘noise’ inherent in the human manual control.
A possible approach would be to create a
predictive model of the human control actions
as a whole, within the tolerances of this noise,
along the lines of ones developed
in the context of (manual) ship manoeuvring,
based on engineering-style approaches
(e.g. [136,
139]).
However ship control is not generally considered to be
a skill in which fractions of a second are very important.
In Sutton & Towill's paper [136],
the frequencies of the power spectrum of wheel demands
(human and model, compared)
lie below 0.15Hz, which is an order of magnitude away
from the predominant frequency in our “DANGLE” data, which
appears to be around 1–2Hz.
If one wanted to take account of response times,
a much more complex model would have to be constructed,
where the action effected at a particular moment was dependent
on the information available at a slightly earlier time.
One of the most interesting features of the data from the SUV
experiment is that they show little or no average delay
between ROLL and ANGLE, and between DROLL and DANGLE.
This would point towards a model of control actions as based on
predictive quantities, not just the most obvious current
quantities.
In other words, the rules governing a detailed predictive model
of human control would probably not be based on exactly the same
quantities as those underlying the hand-crafted rules for SUV control.
As well as the unfathomed complexity of the finer details
of the psycho-motor mechanisms by which actions are effected,
there is also the problem of relating these actions to intentions
which could be present at a conscious level.
We can clearly imagine a conscious intention to place the
handlebars at a certain angle, or to move them
for a certain period of time at a certain rate.
But the pace of actions in such a task is too fast for
a verbal report of intentions at this level, and it seems
unlikely that any conscious monitoring of actions would reveal
reliably what was being done.
If there are rules governing the control actions,
then there must be a way of representing those actions
in harmony with the way actions are represented in those rules.
If we cannot reliably infer that representation from
verbal reports, then we would have to infer the representation
from the records of actions alone.
It is unclear how this could be done, given
the presumable complexity of the psycho-motor
processes, which mediate intentions to physical actions,
in this kind of task.
The possibility of writing fairly
simple control rules suggests that
there may be simple control processes
at a higher level, which are masked by the contortions
of lower-level processes which attempt to make up for
psycho-motor limitations.
We may infer from this that modelling
a manual task is likely to involve modelling at the psycho-motor
level: perhaps involving both mechanisms of
perception and mechanisms of effecting actions.
Although this is an important area of study in its own right,
it does not have great implications for the kind of
real-life task that we have in mind throughout this study.
Worse, the involvement of an important psycho-motor aspect will tend
to obscure the other, more cognitive aspect of performance.
This may happen from the point of view of the operator,
for whom a task can demand much motor-skill learning while being
relatively straightforward at higher levels;
and from the point of view of the researcher, who would have to
unravel the motor-skills before gaining a clear impression of the
cognitive skill.
The main conclusion must be that in this type of task,
it is unclear how to represent human actions,
and this blocks a deeper analysis of the human skill.
Thus, we need to study a non-manual task
where the complexity would have a more cognitive character.

The time units are seconds of simulation time,
each equivalent to two seconds of real time in this run.
The angular unit is the radian.
“ANGLE” is α, “ROLL” is θ.
Figure 4.1: Handlebar angle and SUV roll against time for the initial
part of the analysed run

and since

the relationship between alpha and theta is

The values used in the simulation,
ks = 0.854, v = 5.0 and g = 9.81,
leave us with



as the best description of the connections present in
the analysed run.
A zero offset was found to give the best initial match.
Thus a simple model of correlation between the rate of
roll and the handlebar angle explains part of the
experimental data.
4.3.3.2
Control as setting the rate of handlebar movement
Figure 4.2: Handlebar angle and SUV roll rates of change
against time for the initial part of the analysed run
4.3.4
Comparison with hand-written control rules
4.4
Discussion
4.4.1
Problems in the experimental design
We can only speculate that some or all of these channels are
necessary sources of information or means of control
for human bicycle-riding.
If confirmation were wanted on the relevance or not of bicycle
riding to the SUV, it would need an experiment where bicycle-riders
were compared with non-bicycle-riders.
Since the latter class are fairly rare, none casually encountered
the simulation, and it would take some effort to locate sufficient
of them.
Such an experiment was not carried out here.
4.4.2
Manual control as a hindrance
4.4.3
Implications for this study
Next Chapter 5
General Contents
Copyright